Toggle navigation
HUSTOJ
F.A.Qs
ProblemSet
Source/Category
Status
Ranklist
Contest
Login
Language
中文
ئۇيغۇرچە
English
فارسی
ไทย
한국어
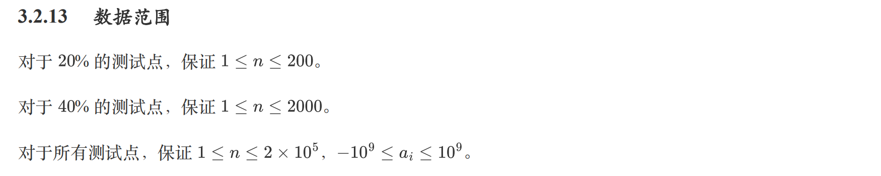
Problem3525--【Div2】GESP25年3月六级L6-P2-环线
3525: 【Div2】GESP25年3月六级L6-P2-环线
[Creator :
]
Time Limit :
1.000
sec
Memory Limit :
128 MB
Submit
Solved: 0
Submit Num: 0
Statistics
Description
Sample Input
Copy
5 -3 4 -5 1 3
Sample Output
Copy
5
Source/Category
GESP
队列
单调队列
环